Deadlocks
Finite number of resources to be distributed among a number of competing processes
A set of blocked processes each holding a resource and waiting to acquire a resource held by another process in the set.
The Deadlock Problem
Example
–System has 2 tape drives.
–P1 and P2 each hold one tape drive and each needs another one.
Example
–semaphores A and B, initialized to 1
P0 P1
wait (A); wait(B)
wait (B); wait(A)
Bridge Crossing Example

Traffic only in one direction.
Each section of a bridge can be viewed as a resource.
If a deadlock occurs, it can be resolved if one car backs up (preempt resources and rollback).
Several cars may have to be backed up if a deadlock occurs.
Starvation is possible.
System Model
Resource types R1, R2, . . ., Rm
–CPU cycles, memory space, I/O devices
Each resource type Ri has Wi instances.
Each process utilizes a resource as follows:
–request
–use
–release
Deadlock Characterization
Deadlock can arise iff four conditions hold simultaneously.
Mutual exclusion: resource must be held in a nonshareable mode
Hold and wait: a process holding at least one resource is waiting to acquire additional resources held by other processes.
No preemption: a resource can be released only voluntarily by the process holding it, after that process has completed its task.
Circular wait: there exists a set {P0, P1, …, Pn} of waiting processes such that P0 is waiting for a resource that is held by P1, P1 is waiting for a resource that is held by P2, …, Pn–1 is waiting for a resource that is held by Pn, and Pn is waiting for a resource that is held by P0.
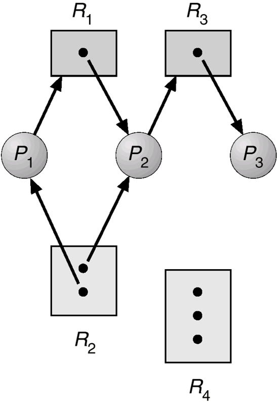
Resource-Allocation Graph
A set of vertices V and a set of edges E.
V is partitioned into two types:
— P = {P1, P2, …, Pn}, the set consisting of all the processes in the system.
— R = {R1, R2, …, Rm}, the set consisting of all resource types in the system.
request edge – directed edge Pi -> Rj
assignment edge – directed edge Rj -> Pi
Process

Resource Type with 4 instances

Pi requests instance of Rj (Arrow points from Process to Resource Type)
Pi is holding an instance of Rj (Arrow points to Process from Resource Type)
Example of a Resource Allocation Graph

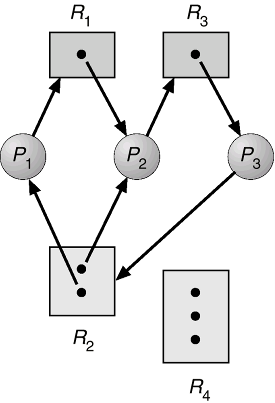
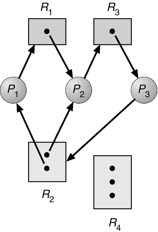
Resource Allocation Graph With A Deadlock

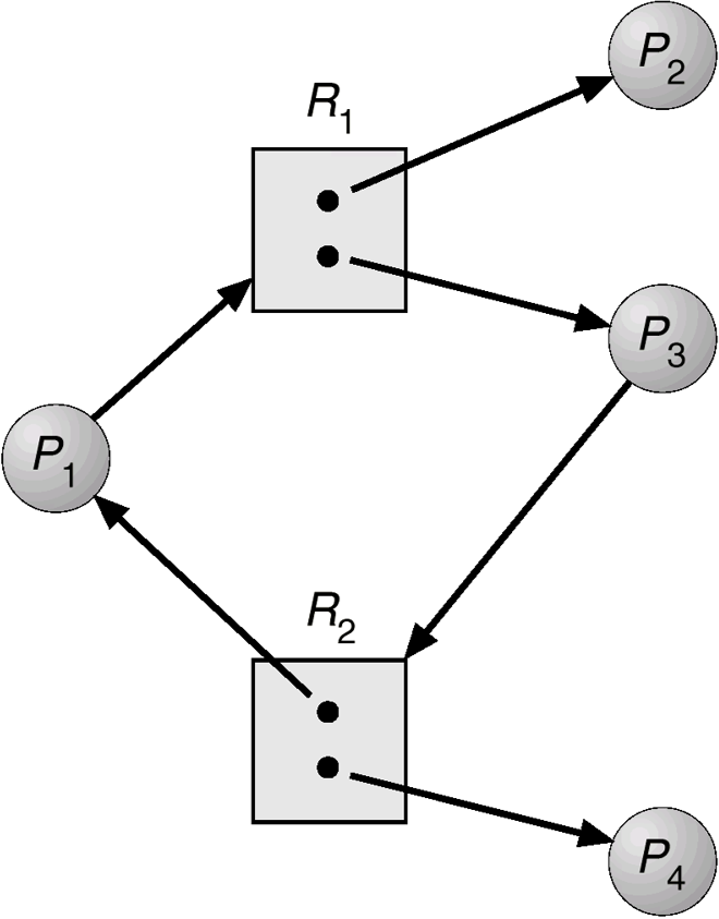
Resource Allocation Graph With A Cycle But No Deadlock

Basic Facts
If graph contains no cycles -> no deadlock.
If graph contains a cycle ->
–if only one instance per resource type, then deadlock.
–if several instances per resource type, possibility of deadlock.
Methods for Handling Deadlocks
Ensure that the system will never enter a deadlock state.
Allow the system to enter a deadlock state and then recover
Deadlock Prevention
By ensuring that atleast one of the conditions cannot hold, we can prevent deadlock.
Mutual Exclusion – some resources are inherently nonsharable eg. printer.
Hold and Wait –
Require process to request and be allocated all its resources before it begins execution
Low resource utilization; starvation possible.
No Preemption –
If a process that is holding some resources & requests another resource that cannot be immediately allocated to it, then all resources currently being held are released.
Preempted resources are added to the list of resources for which the process is waiting.
Process will be restarted only when it can regain its old resources, as well as the new ones that it is requesting.
Circular Wait – impose a total ordering of all resource types, and require that each process requests resources in an increasing order of enumeration.
impose a total ordering of all resource types, and require that each process requests resources in an increasing order of enumeration (eg. Disk needed before printer, so Number assigned to printer > Number assigned to disk)
R = {R1, R2, …, Rm} the set consisting of all resource types in the system
Assign a unique integer number to each resource type
A process can initially request any number of instances of a resource type Ri
After that process can request instances of a resource type Rj iff
Number of Rj > Number of Ri
If several instances of some resource type are needed, a single request for all must be issued

Deadlock Avoidance
Requires that the system has some additional a priori information available.
Simplest and most useful model requires that each process declare the maximum number of resources of each type that it may need.
Uses concept of safe state
Safe State
System is in safe state if there exists a safe sequence of all processes.
Sequence <P1, P2, …, Pn> is safe if for each Pi, the resources that Pi can still request can be satisfied by currently available resources + resources held by all the Pj, with j<i.
- If Pi resource needs are not immediately available, then Pi can wait until all Pj have finished.
- When Pj is finished, Pi can obtain needed resources, execute, return allocated resources, and terminate.
- When Pi terminates, Pi+1 can obtain its needed resources, and so on.
If no such sequence exists, then system is in unsafe state
If a system is in safe state -> no deadlocks.
If a system is in unsafe state -> possibility of deadlock.
Safe, unsafe , deadlock state spaces

Data Structures for the Banker’s Algorithm
Let n = number of processes, and m = number of resources types.
Available: Vector of length m. If available [j] = k, there are k instances of resource type Rj available.
Max: n x m matrix. If Max [i,j] = k, then process Pi may request at most k instances of resource type Rj.
Allocation: n x m matrix. If Allocation[i,j] = k then Pi is currently allocated k instances of Rj.
Need: n x m matrix. If Need[i,j] = k, then Pi may need k more instances of Rj to complete its task.
Need [i,j] = Max[i,j] – Allocation [i,j].
Banker’s Algorithm
Requesti = request vector for process Pi. If Requesti [j] = k then process Pi wants k instances of resource type Rj.
1. If Requesti Needi go to step 2. Otherwise, raise error condition, since process has exceeded its maximum claim.
2. If Requesti Available, go to step 3. Otherwise Pi must wait, since resources are not available.
3. Pretend to allocate requested resources to Pi by modifying the state as follows:
- Available := Available – Requesti;
- Allocationi := Allocationi + Requesti;
- Needi := Needi – Requesti;;
Call safety algorithm
If safe -> the resources are allocated to Pi.
If unsafe -> Pi must wait, and the old resource-allocation state is restored
Safety Algorithm
To determine whether system is in safe state
1. Let Work and Finish be vectors of length m and n, respectively. Initialize:
Work := Available
Finish [i] = false for i = 1,2, …, n.
2. Find an i such that both:
(a) Finish [i] = false
(b) Needi Work
If no such i exists, go to step 4.
3. Work := Work + AllocationiFinish[i] := truego to step 2.
4. If Finish [i] = true for all i, then the system is in a safe state.
Example of Banker’s Algorithm
Example of Detection Algorithm
Recovery from Deadlock: Process Termination
Abort all deadlocked processes.
Abort one process at a time until the deadlock cycle is eliminated.
In which order should we choose to abort?
- Priority of the process.
- How long process has computed, and how much longer to completion.
- Resources the process has used.
- Resources process needs to complete.
- How many processes will need to be terminated.
Recovery from Deadlock: Resource Preemption
Selecting a victim
Rollback
Starvation – same process may always be picked as victim, include number of rollbacks
The Ostrich Algorithm
Pretend there is no problem (Ignore)
Reasonable if
— deadlocks occur very rarely
— cost of prevention is high
UNIX and Windows takes this approach
It is a trade off between
— convenience
— correctness
It is named for the ostrich effect, i.e. “to stick one’s head in the sand and pretend there is no problem.” This assumes that it is more cost-effective to allow the problem to occur than to attempt its prevention.
If deadlock does occur, it may be necessary to bring the system down, or at least manually kill a number of processes, but even that is not an extreme solution in most situations